function [t, w] = taylor(f, fp, a, b, N, alpha)
h = (b - a) / N;
n = length(fp) + 1;
t = zeros(n + 1, 1);
w = zeros(n + 1, 1);
t(1) = a;
w(1) = alpha;
for i = 1 : N
t(i + 1) = t(i) + h;
T = f(t(i), w(i));
for j = 2 : n
T += h^(j-1) * fp{j-1}(t(i),w(i)) / factorial(j);
endfor
w(i + 1) = w(i) + h * T;
endfor
endfunctionModul 2 Praktikum Persamaan Diferensial Biasa: Metode Taylor Orde n dan Runge-Kutta
Kembali ke Praktikum Persamaan Diferensial Biasa
Metode Taylor orde \(n\)
Metode Taylor orde \(n\) adalah perluasan dari metode Euler (di mana metode Taylor orde 1 sama saja dengan metode Euler). Rumus iterasinya bisa ditulis sebagai berikut:
\[w_1 = \alpha\]
\[\begin{align*} T^{(n)} \left(t_i, w_i\right) &= f\left(t_i, w_i\right) + \frac{h}{2}f'\left(t_i, w_i\right) + \cdots + \frac{h^{n-1}}{n!} f^{\left(n-1\right)} \left(t_i,w_i\right) \\ \end{align*}\]
\[w_{i+1} = w_i + hT^{(n)} \left(t_i, w_i\right) \]
Perhatikan bahwa, dengan metode Taylor orde \(n\), kita perlu memperoleh terlebih dahulu rumus analitik untuk sejumlah turunan (terhadap \(t\)) dari \(f\left(t_i, w_i\right)\) yaitu \(f', f'', \dots, f^{(n-1)}\).
Kebetulan, untuk metode Euler, yaitu metode Taylor orde 1 (\(n=1\)), kita tidak perlu menghitung turunan fungsinya sama sekali.
Untuk mempermudah pemrograman, kita coba tulis ulang rumus \(T^{(n)} \left(t_i, w_i\right)\) dengan sumasi:
\[\begin{align*} T^{(n)} \left(t_i, w_i\right) &= f\left(t_i, w_i\right) + \frac{h}{2}f'\left(t_i, w_i\right) + \cdots + \frac{h^{n-1}}{n!} f^{\left(n-1\right)} \left(t_i,w_i\right) \\ &= \sum_{j=1}^{n} \frac{h^{j-1}}{j!} f^{\left(j-1\right)} \left(t_i,w_i\right) \\ &= f\left(t_i,w_i\right) + \sum_{j=2}^{n} \frac{h^{j-1}}{j!} f^{\left(j-1\right)} \left(t_i,w_i\right) \end{align*}\]
Dengan demikian, kita bisa menyimpan fungsi-fungsi \(f', f'', \dots, f^{(n-1)}\) di dalam suatu cell array, misal dinamakan fp, sehingga
- kita bisa mengakses turunan ke-\(i\) dengan menulis
fp{i} - orde \(n\) untuk metode Taylor bisa ditentukan menggunakan panjang cell array tersebut, yaitu
n = length(fp) + 1; - jika cell array kosong (tidak ada fungsi turunan), otomatis \(n=1\) dan algoritmanya menjadi sama saja dengan metode Euler (sesuai harapan)
- penjumlahannya bisa menggunakan for loop sederhana
- kita cukup mendefinisikan fungsi metode Taylor ini sekali saja di Octave, daripada harus membuat definisi terpisah untuk orde 2, orde 3, orde 4, dan seterusnya (di mana banyaknya fungsi turunan memang berbeda)
Secara keseluruhan, metode Taylor orde \(n\) dapat ditulis sebagai berikut.
\[w_1 = \alpha\]
\[w_{i+1} = w_i + hT^{(n)} \left(t_i, w_i\right)\]
\[T^{(n)} \left(t_i, w_i\right) = f\left(t_i,w_i\right) + \sum_{j=2}^{n} \frac{h^{j-1}}{j!} f^{\left(j-1\right)} \left(t_i,w_i\right)\]
Perhatikan bahwa metode Taylor orde 1 adalah metode Euler pada pertemuan sebelumnya.
Misalkan diberikan MNA sebagai berikut, yang diminta untuk diselesaikan secara numerik dengan metode Taylor orde 4:
\[y' = y - t^2 + 1\] \[0 \le t \le 2\] \[y(0) = 0.5\]
Maka, dengan \(y' = f\left(t, y\right) = y - t^2 + 1\), bisa dihitung:
\[f'\left(t, y\right) = y - t^2 + 1 - 2t\]
\[f''\left(t, y\right) = y - t^2 - 2t - 1\]
\[f^{(3)}\left(t, y\right) = y - t^2 - 2t - 1, \hspace{0.2cm} \text{kebetulan sama persis dengan} \hspace{0.2cm} f''\left(t, y\right)\]
% contoh pakai: subbab 5.3 example 1b (orde 4)
% f(t_i, w_i)
f0 = @(t,y) y - t^2 + 1;
% f'(t_i, w_i)
f1 = @(t,y) y - t^2 + 1 - 2*t;
% f''(t_i, w_i)
f2 = @(t,y) y - t^2 - 2*t - 1;
% f'''(t_i, w_i)
f3 = @(t,y) y - t^2 - 2*t - 1;
% hitung pada interval [0,2], N=10, y(0)=alpha=0.5
[t, w] = taylor(f0, {f1, f2, f3}, 0, 2, 10, 0.5);
% otomatis Taylor orde 4 karena
% ada tiga fungsi turunan f1, f2, f3
% yang diinput di cell array
% bandingkan dengan Tabel 5.4
[t, w]ans =
0 0.5000
0.2000 0.8293
0.4000 1.2141
0.6000 1.6489
0.8000 2.1272
1.0000 2.6409
1.2000 3.1800
1.4000 3.7324
1.6000 4.2835
1.8000 4.8152
2.0000 5.3056
Kita bisa membandingkan antara solusi eksak, metode Euler, dan metode Taylor orde 4, baik dalam menampilkan tabel iterasi maupun menampilkan plot:
% fungsi f(t,y) dan turunan pertama, kedua, ketiga
f0 = @(t,y) y - t^2 + 1;
f1 = @(t,y) y - t^2 + 1 - 2*t;
f2 = @(t,y) y - t^2 - 2*t - 1;
f3 = @(t,y) y - t^2 - 2*t - 1;
a = 0;
b = 2;
N = 10;
alpha = 0.5;
% menghitung metode Euler dan metode Taylor orde 4
[t_euler, w_euler] = euler(f0, a, b, N, alpha);
[t_taylor, w_taylor] = taylor(f0, {f1,f2,f3}, a, b, N, alpha);
% solusi eksak
sln = @(t) (t + 1).^2 - 0.5 * exp(t);
y_eksak = sln(t_euler);
% tampilkan tabel
[t_euler, w_euler, w_taylor, y_eksak]
% plotting
hold on;
fplot(sln, [a, b], 'b');
scatter(t_euler, w_euler, 'r');
scatter(t_taylor, w_taylor, 'g');
legend("Solusi Eksak", "Metode Euler", "Metode Taylor orde 4");ans =
0 0.5000 0.5000 0.5000
0.2000 0.8000 0.8293 0.8293
0.4000 1.1520 1.2141 1.2141
0.6000 1.5504 1.6489 1.6489
0.8000 1.9885 2.1272 2.1272
1.0000 2.4582 2.6409 2.6409
1.2000 2.9498 3.1800 3.1799
1.4000 3.4518 3.7324 3.7324
1.6000 3.9501 4.2835 4.2835
1.8000 4.4282 4.8152 4.8152
2.0000 4.8658 5.3056 5.3055

Metode Runge-Kutta dan variasinya
Orde 2: Metode Midpoint
\[w_1=\alpha\] \[w_{i+1}=w_i+h f\left(t_i+\frac{h}{2}, w_i+\frac{h}{2} f\left(t_i, w_i\right)\right)\]
bisa juga ditulis,
\[w_1=\alpha\] \[m_1 = f\left(t_i, w_i\right)\] \[w_{i+1}=w_i+h f\left(t_i+\frac{h}{2}, w_i+\frac{h}{2} m_1\right)\]
atau bahkan,
\[w_1=\alpha\] \[m_1 = f\left(t_i, w_i\right)\] \[m_2 = f\left(t_i+\frac{h}{2}, w_i+\frac{h}{2} m_1\right)\] \[w_{i+1}=w_i+h m_2\]
function [t, w] = midpoint(f, a, b, N, alpha)
h = (b - a) / N;
t = zeros(N + 1, 1);
w = zeros(N + 1, 1);
t(1) = a;
w(1) = alpha;
for i = 1 : N
t(i + 1) = t(i) + h;
m1 = f(t(i), w(i));
m2 = f(t(i) + (h / 2), w(i) + (h / 2) * m1);
w(i + 1) = w(i) + h * m2;
endfor
endfunctionMisalkan diberikan MNA sebagai berikut, yang ingin diselesaikan secara numerik dengan \(N = 10\):
\[y' = y - t^2 + 1\] \[0 \le t \le 2\] \[y(0) = 0.5\]
yang kebetulan memiliki solusi eksak:
\[y\left(t\right) = \left( t + 1 \right)^2 - 0.5 e^t\]
Contoh penggunaan:
f = @(t, y) (y - t .^ 2 + 1);
a = 0;
b = 2;
N = 10;
alpha = 0.5;
[t, w] = midpoint(f, a, b, N, alpha);
sln = @(t) (t + 1) .^ 2 - 0.5 * exp(t);
y_eksak = sln(t);
err_midpoint = abs(w - y_eksak);
err_midpoint_total = sum(err_midpoint); % norm L1 (taxicab/Manhattan)
disp("Tabel aproksimasi w, solusi eksak y, dan error:");
[t, w, y_eksak, err_midpoint]
disp("Error total (norm L1):");
disp(err_midpoint_total);
hold on;
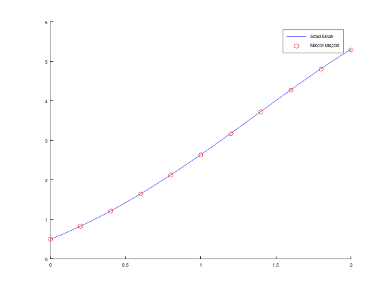
fplot(sln, [a, b], 'b');
scatter(t, w, 'r');
legend("Solusi Eksak", "Metode Midpoint");Tabel aproksimasi w, solusi eksak y, dan error:
ans =
0 0.5000 0.5000 0
0.2000 0.8280 0.8293 0.0013
0.4000 1.2114 1.2141 0.0027
0.6000 1.6447 1.6489 0.0043
0.8000 2.1213 2.1272 0.0059
1.0000 2.6332 2.6409 0.0077
1.2000 3.1705 3.1799 0.0095
1.4000 3.7212 3.7324 0.0112
1.6000 4.2706 4.2835 0.0129
1.8000 4.8010 4.8152 0.0142
2.0000 5.2904 5.3055 0.0151
Error total (norm L1):
0.084840

Orde 2: Metode Modified Euler
\[w_1=\alpha\] \[w_{i+1}=w_i+\frac{h}{2}\left(f\left(t_i, w_i\right)+f\left(t_{i+1}, w_i+h f\left(t_i, w_i\right)\right)\right)\]
bisa juga ditulis,
\[w_1=\alpha\] \[m_1 = f\left(t_i, w_i\right)\] \[w_{i+1}=w_i+\frac{h}{2}\left(m_1+f\left(t_{i+1}, w_i+h m_1\right)\right)\]
atau bahkan,
\[w_1=\alpha\] \[m_1 = f\left(t_i, w_i\right)\] \[m_2 = f\left(t_{i+1}, w_i+h m_1\right)\] \[w_{i+1}=w_i+\frac{h}{2}\left(m_1+m_2\right)\]
function [t, w] = modified_euler(f, a, b, N, alpha)
h = (b - a) / N;
t = zeros(N + 1, 1);
w = zeros(N + 1, 1);
t(1) = a;
w(1) = alpha;
for i = 1 : N
t(i + 1) = t(i) + h;
m1 = f(t(i), w(i));
m2 = f(t(i + 1), w(i) + h * m1);
w(i + 1) = w(i) + h * (m1 + m2) / 2;
endfor
endfunctionMisalkan diberikan MNA sebagai berikut, yang ingin diselesaikan secara numerik dengan \(N = 10\):
\[y' = y - t^2 + 1\] \[0 \le t \le 2\] \[y(0) = 0.5\]
dan misalkan solusi eksak tidak diketahui.
Contoh penggunaan (perbandingan metode Runge-Kutta orde 2):
f = @(t, y) (y - t .^ 2 + 1);
a = 0;
b = 2;
N = 10;
alpha = 0.5;
[t1, w1] = midpoint(f, a, b, N, alpha);
[t2, w2] = modified_euler(f, a, b, N, alpha);
[t1, w1, w2]
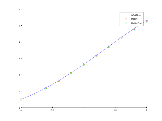
hold on;
scatter(t1, w1, 'r');
scatter(t2, w2, 'g');
legend("Midpoint", "Modified Euler");ans =
0 0.5000 0.5000
0.2000 0.8280 0.8260
0.4000 1.2114 1.2069
0.6000 1.6447 1.6372
0.8000 2.1213 2.1102
1.0000 2.6332 2.6177
1.2000 3.1705 3.1496
1.4000 3.7212 3.6937
1.6000 4.2706 4.2351
1.8000 4.8010 4.7556
2.0000 5.2904 5.2331

Misalkan diketahui solusi eksak:
\[y\left(t\right) = \left( t + 1 \right)^2 - 0.5 e^t\]
Maka kita juga bisa menghitung error dari masing-masing metode.
f = @(t, y) (y - t .^ 2 + 1);
a = 0;
b = 2;
N = 10;
alpha = 0.5;
[t1, w1] = midpoint(f, a, b, N, alpha);
[t2, w2] = modified_euler(f, a, b, N, alpha);
sln = @(t) (t + 1) .^ 2 - 0.5 * exp(t);
y_eksak = sln(t1);
err1 = abs(y_eksak - w1);
err2 = abs(y_eksak - w2);
[t1, y_eksak, w1, err1, w2, err2]
hold on;
fplot(sln, [a, b], 'b');
scatter(t1, w1, 'r');
scatter(t2, w2, 'g');
legend("Solusi Eksak", "Midpoint", "Modified Euler");ans =
0 0.5000 0.5000 0 0.5000 0
0.2000 0.8293 0.8280 0.0013 0.8260 0.0033
0.4000 1.2141 1.2114 0.0027 1.2069 0.0072
0.6000 1.6489 1.6447 0.0043 1.6372 0.0117
0.8000 2.1272 2.1213 0.0059 2.1102 0.0170
1.0000 2.6409 2.6332 0.0077 2.6177 0.0232
1.2000 3.1799 3.1705 0.0095 3.1496 0.0304
1.4000 3.7324 3.7212 0.0112 3.6937 0.0387
1.6000 4.2835 4.2706 0.0129 4.2351 0.0484
1.8000 4.8152 4.8010 0.0142 4.7556 0.0596
2.0000 5.3055 5.2904 0.0151 5.2331 0.0724

Orde 3: Metode Heun
\[w_1=\alpha\] \[w_{i+1}=w_i+\frac{h}{4}\left(f\left(t_i, w_i\right)+3 f\left(t_i+\frac{2 h}{3}, w_i+\frac{2 h}{3} f\left(t_i+\frac{h}{3}, w_i+\frac{h}{3} f\left(t_i, w_i\right)\right)\right)\right)\]
bisa juga ditulis,
\[w_1=\alpha\] \[m_1 = f\left(t_i, w_i\right)\] \[w_{i+1}=w_i+\frac{h}{4}\left(m_1+3 f\left(t_i+\frac{2 h}{3}, w_i+\frac{2 h}{3} f\left(t_i+\frac{h}{3}, w_i+\frac{h}{3} m_1\right)\right)\right)\]
atau,
\[w_1=\alpha\] \[m_1 = f\left(t_i, w_i\right)\] \[m_2 = f\left(t_i+\frac{h}{3}, w_i+\frac{h}{3} m_1\right)\] \[w_{i+1}=w_i+\frac{h}{4}\left(m_1+3 f\left(t_i+\frac{2 h}{3}, w_i+\frac{2 h}{3} m_2\right)\right)\]
atau bahkan,
\[w_1=\alpha\] \[m_1 = f\left(t_i, w_i\right)\] \[m_2 = f\left(t_i+\frac{h}{3}, w_i+\frac{h}{3} m_1\right)\] \[m_3 = f\left(t_i+\frac{2 h}{3}, w_i+\frac{2 h}{3} m_2\right)\] \[w_{i+1}=w_i+\frac{h}{4}\left(m_1+3 m_3\right)\]
function [t, w] = heun(f, a, b, N, alpha)
h = (b - a) / N;
t = zeros(N + 1, 1);
w = zeros(N + 1, 1);
t(1) = a;
w(1) = alpha;
for i = 1 : N
t(i + 1) = t(i) + h;
m1 = f(t(i), w(i));
m2 = f(t(i) + (h / 3), w(i) + (h / 3) * m1);
m3 = f(t(i) + (2 * h / 3), w(i) + (2 * h / 3) * m2);
w(i + 1) = w(i) + (h / 4) * (m1 + 3 * m3);
endfor
endfunctionMisalkan diberikan MNA sebagai berikut, yang ingin diselesaikan secara numerik dengan \(N = 10\):
\[y' = y - t^2 + 1\] \[0 \le t \le 2\] \[y(0) = 0.5\]
yang kebetulan memiliki solusi eksak:
\[y\left(t\right) = \left( t + 1 \right)^2 - 0.5 e^t\]
Contoh penggunaan:
f = @(t, y) (y - t .^ 2 + 1);
a = 0;
b = 2;
N = 10;
alpha = 0.5;
[t, w] = heun(f, a, b, N, alpha);
sln = @(t) (t + 1) .^ 2 - 0.5 * exp(t);
y_eksak = sln(t);
err_heun = abs(w - y_eksak);
err_heun_total = sum(err_heun); % norm L1 (taxicab/Manhattan)
disp("Tabel aproksimasi w, solusi y, dan error:");
[t, w, y_eksak, err_heun]
disp("Error total (norm L1):");
disp(err_heun_total);
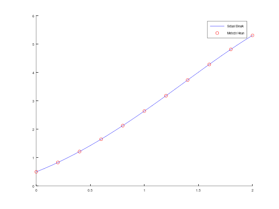
hold on;
fplot(sln, [a, b], 'b');
scatter(t, w, 'r');
legend("Solusi Eksak", "Metode Heun");Tabel aproksimasi w, solusi y, dan error:
ans =
0 0.5000 0.5000 0
0.2000 0.8292 0.8293 0.0001
0.4000 1.2140 1.2141 0.0001
0.6000 1.6488 1.6489 0.0002
0.8000 2.1270 2.1272 0.0002
1.0000 2.6406 2.6409 0.0003
1.2000 3.1796 3.1799 0.0004
1.4000 3.7320 3.7324 0.0004
1.6000 4.2830 4.2835 0.0005
1.8000 4.8147 4.8152 0.0005
2.0000 5.3050 5.3055 0.0005
Error total (norm L1):
3.0743e-03

Ternyata errornya sangat kecil! KIta bisa melihat errornya dengan lebih detail/presisi, dengan menggunakan format long
f = @(t, y) (y - t .^ 2 + 1);
a = 0;
b = 2;
N = 10;
alpha = 0.5;
[t, w] = heun(f, a, b, N, alpha);
sln = @(t) (t + 1) .^ 2 - 0.5 * exp(t);
y_eksak = sln(t);
err_heun = abs(w - y_eksak);
err_heun_total = sum(err_heun); % norm L1 (taxicab/Manhattan)
format long; % pasang format output menjadi panjang (lebih presisi)
disp("Tabel aproksimasi w, solusi y, dan error:");
[t, w, y_eksak, err_heun]
disp("Error total (norm L1):");
disp(err_heun_total);
format; % kembali ke ukuran default
hold on;
fplot(sln, [a, b], 'b');
scatter(t, w, 'r');
legend("Solusi Eksak", "Metode Heun");Tabel aproksimasi w, solusi y, dan error:
ans =
0 0.500000000000000 0.500000000000000 0
0.200000000000000 0.829244444444444 0.829298620919915 0.000054176475471
0.400000000000000 1.213974992592593 1.214087651179365 0.000112658586772
0.600000000000000 1.648765902064198 1.648940599804746 0.000174697740548
0.800000000000000 2.126990532832184 2.127229535753766 0.000239002921582
1.000000000000000 2.640555548543485 2.640859085770478 0.000303537226992
1.200000000000000 3.179576287732221 3.179941538631727 0.000365250899506
1.400000000000000 3.731980283861397 3.732400016577663 0.000419732716265
1.600000000000000 4.283023031133831 4.283483787802441 0.000460756668610
1.800000000000000 4.814696573135897 4.815176267793527 0.000479694657630
2.000000000000000 5.305007192434419 5.305471950534676 0.000464758100256
Error total (norm L1):
3.074265993633474e-03

Metode Runge-Kutta orde 4
\[w_1=\alpha\] \[k_1=h f\left(t_i, w_i\right)\] \[k_2=h f\left(t_i+\frac{h}{2}, w_i+\frac{k_1}{2}\right)\] \[k_3=h f\left(t_i+\frac{h}{2}, w_i+\frac{k_2}{2}\right)\] \[k_4=h f\left(t_{i+1}, w_i+k_3\right)\] \[w_{i+1}=w_i+\frac{1}{6}\left(k_1+2 k_2+2 k_3+k_4\right)\]
function [t, w] = rko4(f, a, b, N, alpha)
h = (b - a) / N;
t = zeros(N + 1, 1);
w = zeros(N + 1, 1);
t(1) = a;
w(1) = alpha;
for i = 1 : N
t(i + 1) = t(i) + h;
k1 = h * f(t(i), w(i));
k2 = h * f(t(i) + (h / 2), w(i) + (k1 / 2));
k3 = h * f(t(i) + (h / 2), w(i) + (k2 / 2));
k4 = h * f(t(i + 1), w(i) + k3);
w(i + 1) = w(i) + (k1 + 2 * k2 + 2 * k3 + k4) / 6;
endfor
endfunctionMisalkan diberikan MNA sebagai berikut, yang ingin diselesaikan secara numerik dengan \(N = 10\):
\[y' = y - t^2 + 1\] \[0 \le t \le 2\] \[y(0) = 0.5\]
yang kebetulan memiliki solusi eksak:
\[y\left(t\right) = \left( t + 1 \right)^2 - 0.5 e^t\]
f = @(t, y) (y - t .^ 2 + 1);
a = 0;
b = 2;
N = 10;
alpha = 0.5;
[t, w] = rko4(f, a, b, N, alpha);
sln = @(t) (t + 1) .^ 2 - 0.5 * exp(t);
y_eksak = sln(t);
err_rko4 = abs(w - y_eksak);
err_rko4_total = sum(err_rko4); % norm L1 (taxicab/Manhattan)
format long; % pasang format output menjadi panjang (lebih presisi)
disp("Tabel aproksimasi w, solusi y, dan error:");
[t, w, y_eksak, err_rko4]
disp("Error total (norm L1):");
disp(err_rko4_total);
format; % kembali ke ukuran default
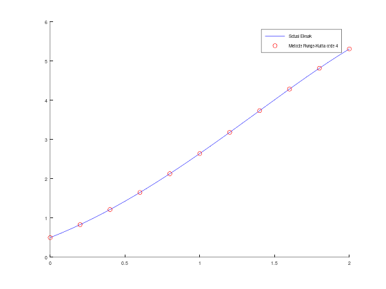
hold on;
fplot(sln, [a, b], 'b');
scatter(t, w, 'r');
legend("Solusi Eksak", "Metode Runge-Kutta orde 4");Tabel aproksimasi w, solusi y, dan error:
ans =
0 0.500000000000000 0.500000000000000 0
0.200000000000000 0.829293333333333 0.829298620919915 0.000005287586582
0.400000000000000 1.214076210666667 1.214087651179365 0.000011440512698
0.600000000000000 1.648922017041600 1.648940599804746 0.000018582763146
0.800000000000000 2.127202684947944 2.127229535753766 0.000026850805823
1.000000000000000 2.640822692728752 2.640859085770478 0.000036393041726
1.200000000000000 3.179894170232231 3.179941538631727 0.000047368399497
1.400000000000000 3.732340072854980 3.732400016577663 0.000059943722683
1.600000000000000 4.283409498318406 4.283483787802441 0.000074289484035
1.800000000000000 4.815085694579435 4.815176267793527 0.000090573214092
2.000000000000000 5.305363000692655 5.305471950534676 0.000108949842021
Error total (norm L1):
4.796793723015336e-04

Perbandingan metode Runge-Kutta orde 2, 3, 4
Misalkan diberikan MNA sebagai berikut, yang ingin diselesaikan secara numerik dengan \(N = 10\):
\[y' = y - t^2 + 1\] \[0 \le t \le 2\] \[y(0) = 0.5\]
yang kebetulan memiliki solusi eksak:
\[y\left(t\right) = \left( t + 1 \right)^2 - 0.5 e^t\]
f = @(t, y) (y - t .^ 2 + 1);
a = 0;
b = 2;
N = 10;
alpha = 0.5;
[t1, w1] = midpoint(f, a, b, N, alpha);
[t2, w2] = modified_euler(f, a, b, N, alpha);
[t3, w3] = heun(f, a, b, N, alpha);
[t4, w4] = rko4(f, a, b, N, alpha);
sln = @(t) (t + 1) .^ 2 - 0.5 * exp(t);
y_eksak = sln(t1);
[t1, w1, w2, w3, w4, y_eksak]
hold on;
fplot(sln, [a, b], 'k');
scatter(t1, w1, 'r');
scatter(t2, w2, 'g');
scatter(t3, w3, 'b');
scatter(t4, w4, 'm');
legend('Fungsi eksak', 'Midpoint', 'Modified Euler', 'Heun', 'Runge-Kutta orde 4');
legend("location", "northwest");
title('Perbandingan metode Runge-Kutta orde 2, 3, 4');ans =
0 0.5000 0.5000 0.5000 0.5000 0.5000
0.2000 0.8280 0.8260 0.8292 0.8293 0.8293
0.4000 1.2114 1.2069 1.2140 1.2141 1.2141
0.6000 1.6447 1.6372 1.6488 1.6489 1.6489
0.8000 2.1213 2.1102 2.1270 2.1272 2.1272
1.0000 2.6332 2.6177 2.6406 2.6408 2.6409
1.2000 3.1705 3.1496 3.1796 3.1799 3.1799
1.4000 3.7212 3.6937 3.7320 3.7323 3.7324
1.6000 4.2706 4.2351 4.2830 4.2834 4.2835
1.8000 4.8010 4.7556 4.8147 4.8151 4.8152
2.0000 5.2904 5.2331 5.3050 5.3054 5.3055
